
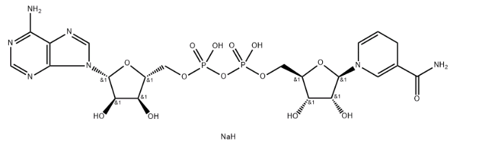
还原型辅酶I二钠盐(β-NADH)
硝基乙酰胺维生素B4;辅酶I二钠;还原型辅酶I (钠盐);Β-烟酰胺腺嘌呤二核苷酸二钠盐水合物,还原型;还原型Β-烟酰胺腺嘌呤二核苷酸二钠盐水合物
CAS NO.606-68-8
性状:白色至浅黄色粉末 。含量:≥95.0%
用途
用作氢化酶和脱氢酶的辅酶。β-烟酰胺腺嘌呤二核苷酸(NAD+)以及还原的β-烟酰胺腺嘌呤二核苷酸(NADH),组成一个包含在广泛的酶催化氧化还原反应中的辅酶氧化还原对(NAD+:NADH);还有它的氧化Chemicalbook还原功能,在ADP-核糖基化作用中(ADP-核糖基转移酶,聚合(ADP-核糖聚合酶)反应)是一种ADP-核糖供体单元;以及一种周期性ADP-核糖(ADP-核糖基环化酶)的前驱体。
|
货号 |
204111 |
||||
|
规格 |
10g |
20g |
50g |
150g |
|
|
有效期 |
2年 |
||||
|
贮存 |
-20℃(湿度≤50%,避光) |
||||